Recursive Search

Prerequisites

  • Simple recursion in Java
  • How the recursion stack saves values

You're lost in a maze

  • How do you find your way out?
  • Right Hand rule:

Fail!!!!!

Let's go to the literature

  • Theseus
  • Hansel and Gretel

We can look at a "State" of the maze

s1.png

Or a bunch of states

s2.png

And we can transition from state to state

s3.png

What do we need?

  • Take steps one at a time to get closer to our solution
  • Keep track of where we've been so we can back up
  • Recursion!!!!!!!!!!
  • Recall factorial:
    public int fact(int n){
      if (n<=1)
        return 1;
      else
        return n * fact(n-1);
    }
    

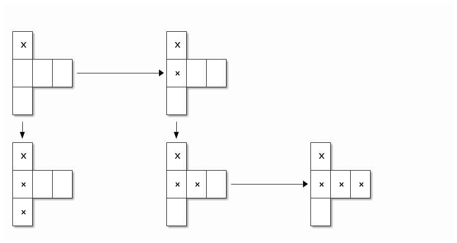
Storing previous state:

  • Factorial fib.png
  • Maze mstack.png

Working it out

  • Base case?
    • found exit?
    • hit a wall?
  • Move to next state?
    • four possible recursive calls
    • x+1, x-1, y+1, y-1

How can we represent our maze?

  • 2D array
  • Space = wall, # = path, z = us
  •  
     #################                      
     #   #        #  #                      
     #   #        #  ##################     
     #   #        #            #      #     
     #   #        #            #      #     
     #   #######  #   ##########      #     
     ###       #  #            #      #     
     ####################      #      #     
     #####       #                    #     
     #           #                    #     
     #           #       #            #     
     #           #       #            #     
     #           #       #            #     
                 #       #            #     
      ################   ###############    
                    #            #######    
                    #                       
                    ##########$             
         
    y

Algorithm

  • Base cases
    • If we're at a wall, return
    • If we're at the exit, set solved to true and return
    • If we're solved, return
  • Recursive reduction
    • Put us (z) in the current x,y location of the 2D array
    • solve from the x+1 location
    • solve from the x-1 location
    • solve from the y+1 location
    • solve from the y-1 location
    • if not solved, remove us from the board

Solver

public void solve(int x, int y){
    if (board[x][y]==wall ||
        board[x][y]==visited ||
        solved){
        return;
    }

    if (board[x][y]==exit){
        System.out.println(this);
        solved = true;
    }

    System.out.println(this);
    board[x][y]=me;
    solve(x+1,y);
    solve(x-1,y);
    solve(x,y+1);
    solve(x,y-1);
    if (!solved){
        board[x][y]=visited;
    }
}

Let's look at finished solver

Next steps

  • Other state space search and related problems
  • Heuristic Search
  • Pathway to more advanced search (A*)
  • implicit data structures